Exponents
Exponents are a power-full (pun intended) part of math. Yet, for beginning math students, working with these can be tricky – small wonder, exponents are mathematical men of mystery with hidden depths.

So, let's uncover the mystery.
Go forth and multiply
Raising a number to a power is expressed by a number, the “base”, with an “exponent” or “power” written as a superscript.

The meaning of the power is simple as long as its value is a counting number (1, 2, 3, …). In this case, just multiply the base repeatedly by itself the number of times of the exponent.
Allow me to demonstrate …


![]()
But things get a bit muddy as soon as one uses powers other than counting numbers. How do you multiply, for example, a number a negative number of times? A fraction number of times? Zero times?

Clearly, there must be more to the story.
Rules are rules
OK, a quick lesson on math.
Ready?
Math is not about the numbers.
What? Math heretic you say!

Joan of arc burning at stake by Jules Eugène Lenepveu
The truth is, math is all about the logical processing of information. This is why mathematicians can work on "crunching numbers" or exploring the theory behind computer design. But this also means that in math, logical rules are developed and expanded logically.
Case in point: Multiplying two exponents with the same base.
Suppose one wished to multiply two to the third power with 2 raised to the second power.

How can we do it? The most straightforward way seems to use what was described above – simply expand this out as a whole bunch of twos multiplied together.
![]()
The answer would become the same as simply multiplying two by itself five times. Notice, this is the same number as the combined powers of both numbers.
![]()
This is logical and is the basis of a general rule.
When multiplying numbers with the same base, the result is the same as the base being raised to the combination of all the powers.
As a second example (prove it to yourself).
![]()
A simple rule, but one that opens up a universe of possibilities.

Putting into practice
We now have the tools to logically answer the earlier problems; one at a time.
Nothing for nothing
First, let's consider what one gets when a number is raised to the zero power. Let's take as an example, eight to the zero power.

To see what this equals, multiply this by eight, or eight to the first power.
![]()
Replace the unknown with a question mark.
![]()
So, what times 8 equals eight? Simple, one. So, we have the seed for a new rule.
Any number, except zero itself, raised to the zero power equals one.
An important point must be made here. We now have a rule that is not obvious from the basics of exponents. Rather, it is a rational consequence of the rules of exponents.
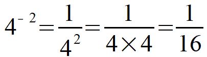
Being negative
What about a negative exponent, such as four to the negative two power?

We can follow a similar process as above, now multiply by four squared.
![]()

In math, a number times its reciprocal (a flipped fraction) equals one. So we can figure out what our unknown number must be – the reciprocal of 42.

Here is a new rule:
A number raised to a negative is the same as the same number, with a positive exponent as a reciprocal.
To sum up:
The rules for exponents, which might at first look seem arbitrary, are but a logical extension of the rules of math.
When a number is raised to a counting number, multiply the base by itself by the power.
A number, except for zero, raised to the zero power equals one.
A number raised to a negative power is the same as the reciprocal of the number with a positive power.
On the web
This video, produced by Aumsum, presents the topic of exponents in simple terms. The lesson is interwoven with a cartoon of a boy and a monkey. Fun.
Exponents in Math - Negative Exponents
Similar video format to the above site, and produced by the same people. Here, the lesson is on negative exponents and the story is with a rabbit.
Don't miss out on future posts! Sign up for our email list and like us on Facebook!
Check out more hot topics, go back to Home Page
Comments? You can contact me at mailbox@thehomegrownprofessor.com